Anyone else concerned about Omicron BA.2 variant [COVID-19]

I have some concern for people who are either too young to get vaccinated, or who have severe immune deficiency. Fortunately no one with this description is in my immediate family.

Otherwise I figure that we all are going to get exposed to COVID (if we weren’t already). We need to get vaccinated, and try not to worry about it too much. I do wear masks in public but mostly because I do not see any reason to avoid a mask. I will get my fourth vaccination pretty much as soon as it is available to me.

1 Like

I am concerned. Noone in my family had Omicron 1. Since our vaccines were still effective during that surge, I almost wish we had. Now our boosters have apparently waned.

I am unsure about getting another shot now. I will want one to cover the holidays and if I have one in May or June, they will have waned by Nov./Dec.

I still wear an N 95 mask. I don’t have friends willing to test before gathering indoors, so I don’t gather. My kids test before we get together. I just find it easier to have the same regimens rather than watch what is going on, colors for counties etc.

I and one of my kids both have underlying conditions, and I take care of my 95 year old mother. It is easy to feel left behind for sure.

11 Likes

I try not to worry, I still wear mask when I go into stores.

3 Likes

I went to Costco yesterday. Almost no one there, including the employees, wore mask. 39% of all confirmed infections in NJ (as of 3/12, a week ago) were identified to be of the BA.2 strain, according to CDC. It’s likely at least half of them are now. Another wave is inevitable, unfortunately.

I’m moving past the “worry” state and am instead on the “constantly aware” state - I too am noticing masks dropping off workers in stores, and if possible I find a cashier who is still masked (I am and will continue to be), or self check out (which I prefer), and shoppers - I’m still playing the “closer to home” game, and and being very strategic about my comings and goings.

I’m vaxed and boosted, and have not (at least that I’m aware of) had any variation of Covid. Frankly I’m not sure more boosters is the answer - I don’t know what the answer is, but I am concerned about over vaccinations, similar to the over use of antibiotics. I know I’m standing my ground and not heading back to the office any time soon. They’re not thrilled with my stance, but they’ll learn to adapt in the same way I learned to adapt to being far more efficient working from home. They’re throwing an Escape Room event shortly and my response was “Escape from the very real chance of catching Covid from half your young staff that refuses to vax or take any precautions against it? No, I will not be attending.”

15 Likes

I thought the vaccine provides very little protection against catching Omicron, as does the mask (unless you wear a N95)? Seems to me that the best protection could be hanging out with people who’ve already had and recovered from Omicron, because they are the least likely to infect others now. That is, if you can choose the people you spend time with.

2 Likes

My major concern is the drying up of governmental funding for anti-Covid measures.

15 Likes

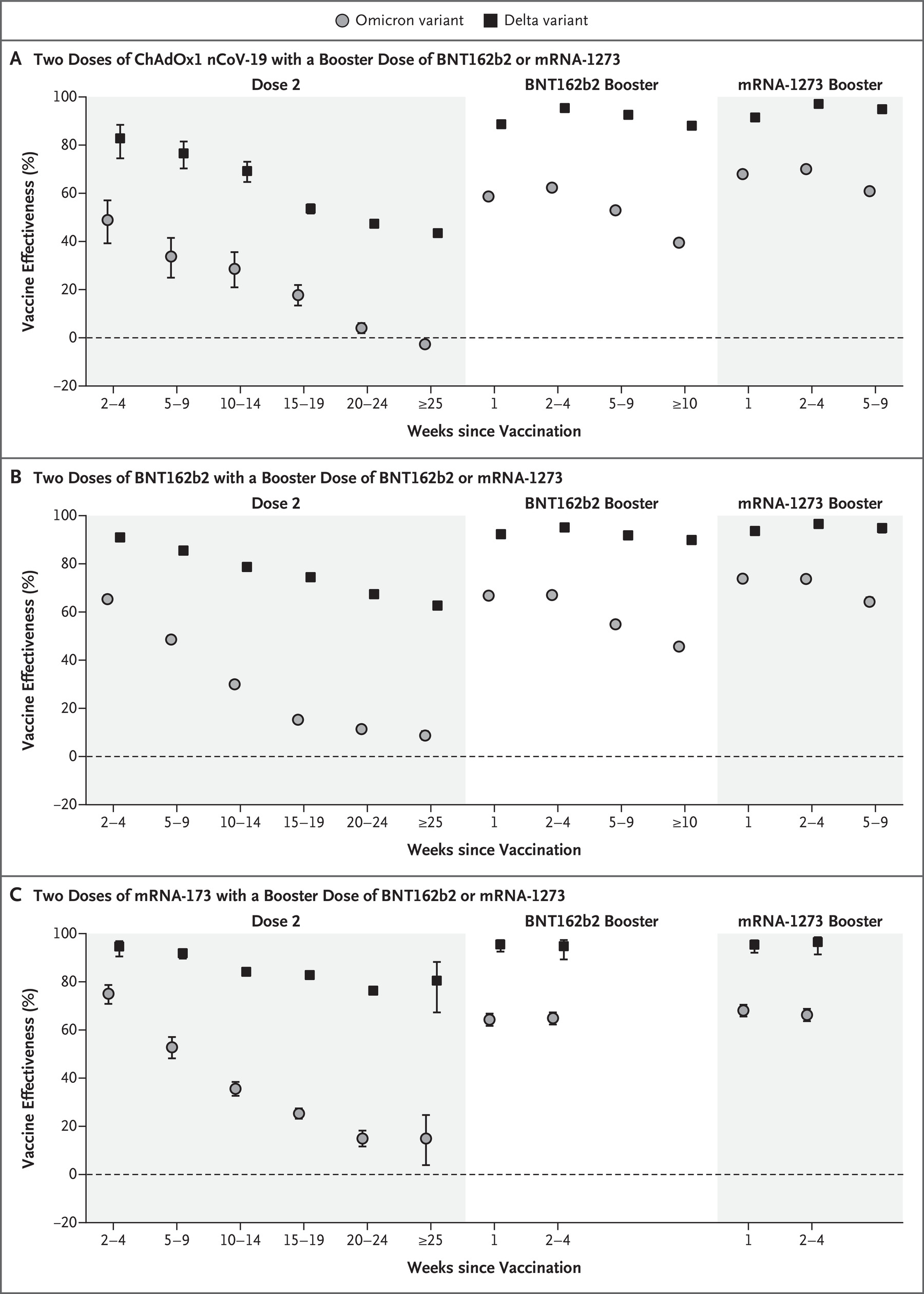
https://www.nejm.org/doi/full/10.1056/NEJMoa2119451 is about vaccine effectiveness against symptomatic Delta and Omicron. The vaccines mentioned were Oxford - AstraZeneca (ChAdOx1 nCoV-19), Pfizer - BioNTech (BNT162b2), and Moderna (mRNA-1273).

However, other studies have indicated that vaccine effectiveness against needing hospitalization is still high.

Perhaps this is not too much of a surprise. Looks like once the initial antibody numbers from vaccination decline, the front-line immune response fades, allowing for infections because the lower level antibodies that are somewhat mismatched to Omicron are not enough to stop it, but the second-line immune response from T-cells remains and usually prevents the infection from getting bad enough to require hospitalization.

That suggests that until a vaccine close to the variant of the day is available, boosting will only give short term protection against infection based on high levels of somewhat mismatched antibodies (where volume makes up for the mismatch), but the effect will fade quickly.

4 Likes

Concerned for my daughter who has medical conditions, and is about to start teaching in person. She also does not drive and takes public transportation. Hoping N95’s are truly effective for this variant.

7 Likes

Colds and flu bugs come and go every year. Some years are slightly worse, and others slightly better, and there’s no vaccination for any of them. Humans have lived with viruses since the beginning of history. We need to start normalizing common sense.

4 Likes

But it wasn’t lack of common sense that pushed acute care and ICU to the breaking point worldwide. It wasn’t lack of common sense causing morgue overflow. This might be the natural history of a new virus that will eventually be a “cold” but its emergence as a pathogen showed severity that, in a 100% immune-naive population, was hugely problematic. The response thus far has not been out of proportion.

18 Likes

I’ve found that getting fresh air and turning off the news is good for the soul.

5 Likes

Doesn’t work as well when you work in healthcare lol

11 Likes

If you are not concerned with Omicron, simply state so and give your reasons if desired and try not to diss those who have concerns. And vice versa. The dissing only creates that division that was mentioned earlier.

9 Likes

I’m concerned. I have a newborn in the family. I also have a lot of contact with an immuno compromised sibling. I’ll continue to mask and avoid indoor dining and events.

5 Likes

First of all, “there’s no vaccination for any of them” is patently false with regard to flu. Flu is short for influenza, which kills thousands of people here each year. Because of those numbers, the flu vaccines were developed and are encouraged by the CDC and most doctors. Because the dominant strains can be hard to predict in advance, the flu shot has varying degrees of success from year to year. However, as with the Covid vaccines, people who get the flu in spite of being vaccinated tend to have milder versions of it than the unvaccinated.

We don’t spend the money to research and develop cold vaccines because these viruses are not virulent and don’t cause millions of deaths across the globe every year.

With almost one million Americans dead of Covid in only 2 years, these vaccines were desperately needed. How anyone can make the argument against the need for these vaccines is totally baffling.

22 Likes

And died of them in huge numbers. Before the advent of vaccines, infectious disease was a major cause of death on this planet.

Billions of children died from infectious diseases. They were the main reason why child mortality was so high: No matter where or when they were born, around half died as children. We looked at the evidence of child mortality in pre-modern times here.

The recurring epidemics of influenza, measles, cholera, diphtheria, the bubonic plague, and smallpox also killed large parts of the adult population. Within just a few years the Black Death killed half of Europe’s population.2

7 Likes

In 1900, the top 3 causes of death in the US were infections (and 4 of the top 10). In 2010, only one of the top 10 was an infection (coming in at #9).

1 Like

The US government doesn’t have enough funds to buy boosters for everyone, since the bill is stuck in the legislature.

1 Like

But in 2020, an infectious disease was #3. Anyone want to guess what it was?

5 Likes